카카오 채널

CDC “2030 여성 각성제 처방 크게 증가” 발표

김성은 2023-04-21 00:00:00

포틀랜드주립대학 
포틀랜드주립대학 

미국질병통제예방센터(CDC)에 따르면, 2020년부터 2021년까지 여성들 사이에 각성제 처방이 급격히 증가했다. 각성제는 주로 ADHD 치료를 위해 처방된다.

CDC 연구는 코로나19 기간 성인의 주의력결핍과잉행동장애 진단과 각성제 처방이 간과되고 있음을 보여준다. 의심되는 추세를 확인합니다. 워싱턴 의과대학의 마가렛 시블리가 이끄는 한 쌍의 해설은 전염병 이후의 진로를 도표로 보여줍니다.

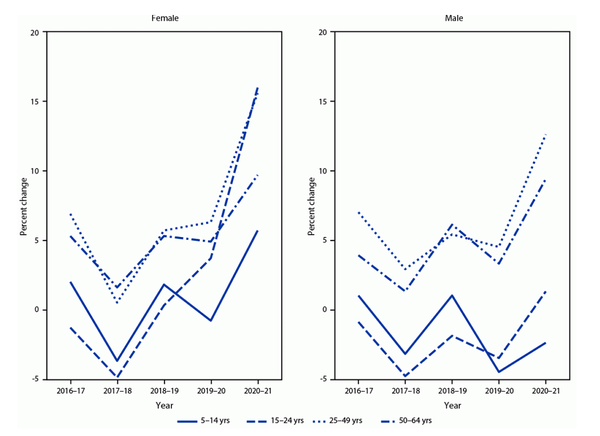
지난 1일 발표된 보고서에 따르면, 2020년과 2021년 사이에 여성의 ADHD 치료를 위한 각성제 처방이 14% 증가했으며, 특히 20대와 30대 여성의 약물 사용량이 눈에 띄게 급증했다. 여성 ADHD 환자에게 처방된 각성제는 2020년부터 2021년까지 14% 증가했으며, 20대와 30대 여성의 각성제 사용은 17.5% 증가했다.

각성제 처방전을 한 번 이상 받은 적이 있는 5-64세 인구 비율, 성별, 연령대 및 연도별. CDC 
각성제 처방전을 한 번 이상 받은 적이 있는 5-64세 인구 비율, 성별, 연령대 및 연도별. CDC 

가장 큰 폭으로 증가한 연령대는 20~24세로 이들 중 6.2%가 ADHD 치료제로 각성제를 사복용하고 있었다. 50-54세 여성의 각성제 사용은 16% 증가해 2016년 2.1%에서 현재 2.9%로 증가했다.

CDC 연구에 따르면 2020~2021년 15~44세 여성과 25~44세 남성의 10% 이상이 ADHD 치료에 일반적으로 사용되는 각성제를 처방받았다. 워싱턴의과대학 정신의학 및 행동과학 마가렛 시블리 부교수가 이끄는 CDC 연구진이 2016년부터 2021년까지 의료비 청구 내역을 추적하는 메러티브마켓스캔(Merative MarketScan) 데이터를 분석해 나온 결과다.

각성제 처방을 한 번 이상 받은 5-64세 인구의 성별 및 연령대별 연간 상대적 비율 변화. CDC 
각성제 처방을 한 번 이상 받은 5-64세 인구의 성별 및 연령대별 연간 상대적 비율 변화. CDC 

여성의 ADHD 진단 증가

연구진은 여성의 각성제 처방 증가와 ADHD 진단의 급증이 관련이 있는 것으로 분석했다.

에픽리서치는 2010년부터 2022년까지 ADHD 진단을 받은 330만 명 이상의 환자 데이터를 분석한 연구결과를 최근 발표했다. 이에 따르면, ADHD 진단을 받은 23~49세 여성이 2020년부터 2022년까지 거의 두 배로 증가했다.

여전히 남성이 여성보다 ADHD 진단을 받을 확률이 높지만, 지난 12년간 성별 격차가 좁혀졌다. 2010년에는 남성이 여성보다 ADHD 진단을 받을 확률이 133% 더 높았지만, 2022년에는 28%로 감소했다.

성인 ADHD 진단과 각성제 처방의 증가는 신경다양성 전문매체 애디튜드가 성인 2,365명을 대상으로 한 2021년 설문조사 결과와도 일치한다. 설문 응답자 26.5%는 전년도에 ADHD 진단을 받았다고 답했으며, 약 22%는 팬데믹 기간 처음으로 ADHD 치료제를 복용하기 시작했다고 답했다.

새로 ADHD 진단을 받은 성인 중에서 치료제를 복용한다는 수치는 64%에 달했다. 팬데믹 기간 약물 복용을 중단했다고 답한 성인은 5.5%에 불과했으며, 복용량을 줄였다고 답한 비율은 4.5%였다.

2009년부터 2021년까지 8학년, 10학년, 12학년의 연간 애더럴 사용률. 모니터링더퓨처는 매년 약 5만명의 8학년, 10학년, 12학년을 대상으로 설문조사를 진행했다. 스태티스타 
2009년부터 2021년까지 8학년, 10학년, 12학년의 연간 애더럴 사용률. 모니터링더퓨처는 매년 약 5만명의 8학년, 10학년, 12학년을 대상으로 설문조사를 진행했다. 스태티스타 

 

팬데믹이 각성제 수요에 미치는 영향

미국에서는 코로나19 기간 원격의료가 자리잡으며 각성제 처방에 대한 접근성이 확대된 것도 한 요인으로 꼽혔다. 2022년 미국 인구조사 데이터에 따르면 미국인의 22%가 원격의료 서비스를 이용한 것으로 나타났다. 2022년 4월 실시된 애디튜드의 설문조사에 따르면, 성인 독자의 57%가 지난 2년간 원격의료 서비스 및 정신건강 앱을 사용했으며, 앱 사용자의 97%가 새로운 처방을 받았다. 그중 59%는 애더럴을 처방받았다.

성인들의 ADHD 치료제 처방량이 크게 늘면서 애더럴 부족 현상을 일으킨 것이 아니냐는 지적도 나왔다.

시블리 부교수는 “수년간 ADHD를 어린시절 장애로 여겨왔다. 이제는 정신건강 전문의들이 성인 ADHD를 식별하는 훈련을 받아야 한다. 성인이 되어서 ADHD 진단을 받은 사람들은 ADHD 아동의 증상과 사뭇 다르다”고 말했다.

Copyright ⓒ 아이이뉴스 무단 전재 및 재배포 금지

연구 뉴스