카카오 채널

[기획-신경다양성] 과잉행동은 빙산의 일각? ADHD가 시사하는 11가지 문제

김성은 2023-07-03 00:00:00

ADHD 대표 증상 외에 알아둬야 할 문제와 증상
ADHD 아동은 또래보다 2~3년 더 느리게 발달한다. 이러한 영향은 성숙도, 사회적 기술, 실행 기능, 감정 조절 및 자기 조절에 영향을 미친다. 덴마크교육부 
ADHD 아동은 또래보다 2~3년 더 느리게 발달한다. 이러한 영향은 성숙도, 사회적 기술, 실행 기능, 감정 조절 및 자기 조절에 영향을 미친다. 덴마크교육부 

부주의, 과잉행동, 충동성은 ADHD의 대표적인 증상이다. ADHD 관련 육아저서를 4권 펴낸 작가이자 육아 코치 페니 윌리엄스는 주의력결핍과잉행동장애(ADHD)는 복잡하고 광범위하며 대부분 증상이 베일에 가려져있다고 말한다. 수면 위로 드러나 부모와 교육자가 확인하는 증상은 ADHD 증상의 일부에 불과하다는 것.

윌리엄스는 “ADHD의 예상치 못한 측면이 수면 아래에 숨어 있다. 이러한 특성은 성격 결함이나 도덕적 또는 윤리적 결함으로 오인되는 경우가 너무 많다. ADHD 아동을 양육하거나 가르칠 때 표면 아래에 있는 것도 마찬가지로 중요하다”고 말했다.

그는 ADHD의 숨겨진 면모에 대해 다음과 같이 설명했다.

ADHD로 인해 발생하는 증상들 

ADHD 아동은 상황이나 연령에 적합한 방식으로 감정을 조절하는 데 어려움을 겪는다. 덴버공립학교 
ADHD 아동은 상황이나 연령에 적합한 방식으로 감정을 조절하는 데 어려움을 겪는다. 덴버공립학교 

1. 자존감 및 자신감 저하

ADHD로 어려움을 겪는 아이들은 낮은 자존감으로 힘들어한다. 자녀가 자신감을 키우는 데 더 많은 도움이 필요하다는 뜻이다. 아무리 작은 일이라도 성공할 수 있는 기회를 많이 만들어 주는 것이 좋다. 발달 지연에도 불구하고 자녀가 빛을 발할 수 있는 활동과 환경을 조성하자.

2. 발달 지연

ADHD 아동은 또래보다 2~3년 더 느리게 발달한다. 이러한 영향은 성숙도, 사회적 기술, 실행 기능, 감정 조절 및 자기 조절에 영향을 미친다. 자녀에게 적절한 그리고 달성 가능한 기대치를 설정한다. 이는 아이가 성공할 수 있는 방법을 만드는 데 도움이 된다.

[기획-신경다양성] 과잉행동은 빙산의 일각? ADHD가 시사하는 11가지 문제
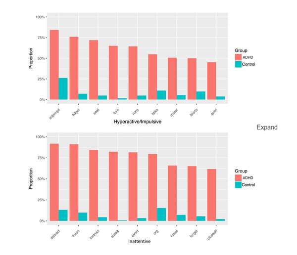
ADHD인 사람과 ADHD이 아닌 사람의 과잉행동/충동(위) 및 부주의(아래) 증상 지지 빈도. 플로스원 

3. 융통성 부족

ADHD 아동의 고집스러운 성향은 고의적인 것이 아니다. 대신, 융통성이 없다는 것은 여러 가지 방법을 확인해 대안을 찾거나 감정을 관리하는 기술이 없기 때문에 발생하는 결과다. 아이가 융통성이 없다는 것은 더 심각한 어려움을 나타낸다.

4. 극단적인 감정

융통성이 없는 아이는 반응이 격해지는 경향이 있다. 감정 인식, 자기 조절, 좌절 내성 등의 기술이 뒤처지면 극단적인 감정으로 이어질 수 있다. 또한, ADHD를 가진 일부 아동은 과민한 반응을 보이기도 하며 감정을 더 깊고 강렬하게 느낀다. 이러한 강도를 해결하는 것에만 집중하지 말고 감정을 더 깊이 파고들어 원인을 파악한 다음 해결한다. 감정이 격해지는 순간에는 자녀에게 "어떻게 도와줄까?"라고 물어본다. 이러한 질문은 극단적인 행동을 유발하는 원인을 파악하는 데 도움이 되는 훌륭한 대화 시작점이 될 수 있다.

[기획-신경다양성] 과잉행동은 빙산의 일각? ADHD가 시사하는 11가지 문제
주의력이 부족한 증상은 빨간색으로 표시되고 과잉 행동 및 충동성 증상은 파란색으로 표시됐다. 가장자리의 두께는 연관성의 크기를 나타낸다. 플로스원 

5. 정서 조절 장애

ADHD 아동은 상황이나 연령에 적합한 방식으로 감정을 조절하는 데 어려움을 겪는다. 감정을 표현하는 방식이 다르거나, 자기 조절 기술이 부족하거나, 의사소통 기술이 부족할 수 있으며, 근본 원인이 무엇이든 정서 조절 장애는 가정, 가족, 학교, 또래와의 사회적 상호작용에 영향을 미친다.

6. 공존 질환

ADHD 환자의 50~60%는 한 가지 이상의 공존 질환이 있는 것으로 추정된다. 여기에는 기분 장애, 불안, 자폐, 학습 장애, 실행 기능 결함, 품행 장애 등이 포함된다. 이러한 추가 질환은 자녀를 이해하고 효과적으로 도울 수 있는 출발점을 제공하기 때문에 중요하다.

7. 기술 결함

ADHD는 뇌의 생리적 차이로 인한 발달 장애이므로 기술 결함이 흔히다. ADHD 아동에게 가장 흔한 기술 결함에는 시간 관리, 좌절감 내성, 계획 및 조직, 감정 조절, 문제 해결, 사회적 기술, 유연한 사고 등이 있다. 일부 뒤처지는 기술은 가르치고 개선할 수 있지만, 다른 기술은 평생 동안 어려움을 겪을 수 있다.

8. 실행기능 결핍

실행기능은 일상적인 계획, 조직, 작업 시작, 감정 조절, 시간 관리 등을 관리하는 기술이다. 이러한 능력이 부족하면 많은 일상 업무가 무너지게 된다. 자녀의 실행기능 수준을 파악하고 교실과 가정에서 취약한 영역을 수용하는 것이 중요히다.

9. 시간 개념 부족

ADHD 아동은 시간에 대한 왜곡된 개념을 가질 수 있다. 예를 들어, 30분이 얼마나 길게 느껴지는지에 대한 선천적인 감각이 없을 수 있다. 서둘러야 한다는 것은 알지만 과제나 시험을 완료해야 하는 시간이 얼마나 남았는지 확신하지 못한다.

"수업이 끝날 때까지 시간이 있어" 또는 "1시간 남았어"라고 말해줘도 아이는 어떤 의미인지 이해하지 못한다. 또한 기다려야 하는 상황이나 간단한 작업을 해야 하는 것 자체에 영원히 걸릴 것이라는 느낌에 부정적인 감정이 든다.

[기획-신경다양성] 과잉행동은 빙산의 일각? ADHD가 시사하는 11가지 문제
ADHD인  사람과 아닌 사람의 주의력 및 과잉행동, 충동성 증상의 차이. 플로스원  

10. 짜증

아이가 원하는 것을 얻기 위해 선택한 행동이다. 일반적으로 짜증을 내는 아이는 자신의 안전을 매우 의식하기 때문에 위험에 처할 만한 행동을 하지 않는다. 애초에 원하는 것을 얻으면 짜증은 즉시 멈출 것이다. 하지만 멜트다운은 다르다. 윌리엄스는 “멜트다운 상태에서는 아이의 뇌가 납치된 것이나 마찬가지다. 아이는 더 이상 말과 행동을 통제할 수 없다”고 설명했다.

짜증이 나거나 감각 과부하, 오해를 받거나 자신의 말을 듣지 못한다고 느낄 때 멜트다운이 유발될 수 있다. 멜트다운이 발생하면 아이는 자신이나 다른 사람에게 해를 끼칠 수 있다. 아이가 원래 원했던 것을 제공해도 멜트다운은 멈추지 않는다.

11. 학교 부적응

기존 교육은 학생들의 순응을 전제로 설계되었다. 학생들은 가만히 앉아 조용히 있어야 하며 장시간 집중력을 유지해야 한다. 교사는 과제를 배포하고 모든 학생이 과제를 중요하게 여기고, 과제를 완료하도록 동기를 부여하며, 효과적으로 스스로 시작하기를 기대한다.

이는 ADHD 학생의 일반적인 약점과 어려움을 고려하지 않았다. 결국 ADHD 학생은 학교에서 정한 일반적이고 신경학적인 기대치를 모두 충족하기 힘들다. 윌리엄스는 “ADHD 아동의 학업적 성공에 대한 정의는 다를 수 있고 또 달라야 한다”라고 주장했다.

약물치료로

생활에 필요한 기술이 나아지는 것은 아니다

ADHD 치료제는 마법이 아니다. 물론 약은 증상 관리에 도움이 된다. 하지만 ADHD 치료는 질환 자체만큼이나 복잡하다. 윌리엄스는 “약물치료로 집중력을 높이고 과잉 행동을 진정시킬 수 있지만 숨겨진 증상을 해결하지는 못한다”며 “아이의 낮은 자존감, 융통성 부족, 과잉 행동, 감정 조절 장애, 기술 결핍, 시간 맹목 등을 개선하는 데 집중해야 한다. 약물은 이러한 기술을 가르치지 않으며, 가르칠 수도 없다”라고 강조했다.

결국 수면 아래에 도사리고 있는 증상은 학교에서의 생활이나 대인관계에도 언제든 부정적인 영향을 미칠 수 있다. 윌리엄스는 “양육과 치료를 위해서는 ADHD로 인해 나타날 수 있는 모든 증상을 고려할 필요가 있다”고 조언했다.

Copyright ⓒ 아이이뉴스 무단 전재 및 재배포 금지

아동권리교육 뉴스