카카오 채널

[기획-청소년 마음건강] 미 유타주, 청소년 SNS 중독 심해지자 규제 강화

김성은 | Cedric Dent 2023-04-05 00:00:00

청소년 보호하기 위한 유타주의 획기적인 법안
 유타 주지사 스펜서 콕스는 소셜 미디어 회사들의 제품이 어린 사용자들의 정신적, 신체적 건강과 안전에 어떻게 영향을 미치는지에 대한 책임을 묻기 위한 포괄적인 법안에 서명했다. 스펜서콕스 
유타 주지사 스펜서 콕스는 소셜 미디어 회사들의 제품이 어린 사용자들의 정신적, 신체적 건강과 안전에 어떻게 영향을 미치는지에 대한 책임을 묻기 위한 포괄적인 법안에 서명했다. 스펜서콕스 

미국 유타주가 청소년들의 소셜미디어 중독에 대처하기 위해 새로운 법을 시행하기로 했다. 이번 법안은 소셜미디어 이용자의 연령확인 절차를 마련하고, 18세 미만은 부모 동의를 의무화하며, 야간시간대 앱 접속을 제한하는 것을 골자로 한다.

지난 주, 유타 주지사 스펜서 콕스는 소셜 미디어 회사들의 제품이 어린 사용자들의 정신적, 신체적 건강과 안전에 어떻게 영향을 미치는지에 대한 책임을 묻기 위한 포괄적인 법안에 서명했다.

새로운 법안의 당위성을 설명하면서, 콕스 주지사는 십 대들의 우울증과 다른 정신 건강 문제들의 증가율을 지적했다. 주지사는 페이스북, 인스타그램, 틱톡과 같은 SNS 플랫폼을 해롭고 중독성이 있는 것으로 유명한 담배 회사와 비교했다.

고등학생들을 직접 만난 콕스 주지사. 스펜서콕스 
고등학생들을 직접 만난 콕스 주지사. 스펜서콕스 

내년부터 시행되는 SB152 법안은 SNS 플랫폼은 계정을 만들거나 사용하려는 유타 주민의 나이를 확인해야 하며 18세 미만 사용자는 부모 동의를 얻으며, 부모에게 자녀 계정에 완전히 접근할 수 있도록 하며 오후 10시 30분부터 다음날 오전 6시 30분까지 앱에 대한 접속을 완전히 차단하는 것을 요구하고 있다. 법을 위반하면 상당한 액수의 벌금이 부과되며, 부모들이 SNS 기업을 ‘신체적, 또는 정서적 피해’로 직접 고소할 수 있다.

이 법안은 콕스 주지사의 ‘우타 홈’ 계획의 일부다. 미성년자의 증가하는 SNS 사용을 관리하는 것을 포함해 주의 교육 시스템을 위한 우선순위가 담겨 있다. 법안의 목표는 주지사는 “정부는 안전벨트 착용이나 아동노동, 술과 담배 제한과 관련해 법으로 아이들을 보호했지만, SNS의 해로움으로부터 미성년자를 보호하기 위한 조치는 거의 없었다”고 말했다. 또한 그는 학교에서 스마트폰 사용을 제한하는 것을 고려해야 한다고 촉구했다.

SNS로 인한 부정적 영향 드러나

라인, 페이스북, 트위터, 인스타그램 등 각 SNS 앱을 빈번히 사용하는 경우의 정신건강 상태. SNS 글을 게재하는 경우와 확인하는 경우로 나눠서 조사했다. 플로스원저널 
라인, 페이스북, 트위터, 인스타그램 등 각 SNS 앱을 빈번히 사용하는 경우의 정신건강 상태. SNS 글을 게재하는 경우와 확인하는 경우로 나눠서 조사했다. 플로스원저널 

청소년들 사이에서 스마트폰 및 SNS 사용의 부정적인 영향을 강조한 연구가 여러 차례 발표됐다. 지난 10년간 발표된 연구에 따르면, SNS 사용 증가를 학업 성취도 저하, 수면의 질 저하, 자존감 저하, 더 많은 사이버폭력, 그리고 정신건강 문제 위험과 관련이 있었다.

지난 2월 미질병통제예방센터(CDC)는 십 대 청소년, 특히 여학생들 사이에서 정신건강 문제가 크게 증가했다는 내용의 놀라운 자료를 발표했다.

데이터에 따르면, 2021년에 미국 십 대 여학생 5명 중 3명이 지속적으로 슬프거나 절망적이라고 느꼈는데, 이는 남학생 비율의 두 배다. 거의 60% 증가한 수치로 지난 10년 동안 보고된 가장 높은 수준이다. 십 대 여학생 중 거의 3명 중 1명은 자살 시도를 심각하게 고려했다.

사회 심리학자이자 뉴욕대학의 조나단 하이트 교수와 같은 전문가들은 십 대들의 삶의질 저하가 스마트폰 접근성의 증가와 페이스북, 인스타그램, 스냅챗, 그리고 틱톡과 같은 SNS 앱의 인기와 일치한다고 지적한다.

하이트 교수는 트위터를 통해 콕스 주지사의 새로운 법안에 동조하는 의견을 밝혔다. 조나단하이트교수 
하이트 교수는 트위터를 통해 콕스 주지사의 새로운 법안에 동조하는 의견을 밝혔다. 조나단하이트교수 

최근 보도에 따르면, 이러한 문제에 대한 증거는 심지어 인스타그램과 같은 SNS 회사 내부에서도 나타났다. 2021년 월스트리트 저널은 회사 문서를 검토하고 인스타그램 내 연구원들이 이 앱이 특히 십대 여학생들에게 피해를 주고 신체 이미지 문제, 불안, 우울증, 자살 생각의 증가로 이어질 수 있다는 결론을 내렸다는 것을 발견했다. 하지만 페이스북과 인스타그램의 모회사인 메타 플랫폼은 반복적으로 앱의 부정적인 효과를 과소평가하고 연구를 비공개로 유지하려고 노력했다고 매체는 전했다.

하이트 교수는 트위터를 통해 콕스 주지사의 새로운 법안에 동조하는 의견을 밝혔다. "의회는 언젠가 '인터넷 성인' 연령을 높여야 할 것이다. 13세는 지나치게 낮다. 그동안 모든 주는 유타주를 따라야 한다. 미성년자가 SNS 계정을 만드려며 반드시 부모의 동의가 필요하다. 십 대 부모는 모두 SNS 때문에 어려움을 겪고 있다"고 말했다.

스마트폰과 경쟁하는 교사들

수업시간에 스마트폰을 사용하지 않도록 제한하려는 노력에도 불구하고 여전히 성과가 없다고 말하는 교사도 많다. 몽고메리카운티공립학교
수업시간에 스마트폰을 사용하지 않도록 제한하려는 노력에도 불구하고 여전히 성과가 없다고 말하는 교사도 많다. 몽고메리카운티공립학교

학교는 지난 몇 년간 학생들의 스마트폰 사용을 통제하기 위해 다양한 방법을 시도했다. 미주리, 펜실베니아, 메인, 뉴욕의 학교들은 교내 스마트폰 사용을 전면 금지했다.

메릴랜드주의 몽고메리카운티공립학교의 크리스토퍼 클라인 교사는 스마트폰의 해로운 영향에 대해 끊임없이 교육하고 있다. 그는 학생들에게 왜 스마트폰이 중독성이 있는지 알 수 있도록 해야 수치심과 비난을 없앨 수 있다고 믿는다.

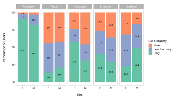
페이스북, 트위터, 인스타그램, 스냅챗, 유튜브를 사용 빈도에 따른 비율. 스프링거네이처저널
페이스북, 트위터, 인스타그램, 스냅챗, 유튜브를 사용 빈도에 따른 비율. 스프링거네이처저널

하지만 수업시간에 스마트폰을 사용하지 않도록 제한하려는 노력에도 불구하고 여전히 성과가 없다고 말하는 교사도 많다.

미시간주의 앨런파크고등학교의 영어 교사 패트릭 댄즈는 전미교육협회를 통해 “여전히 수업시간에 학생들은 스마트폰과 SNS를 본다. 학생들의 관심을 끌기 위해 스마트폰과 경쟁하고 있다”고 전했다. 그는 교사마다 스마트폰 사용과 관련해 다른 규칙을 적용하고 있다며 학교에서 스마트폰 사용을 완전히 금지하는 것에 찬성한다고 협회에 말했다.

SNS 앱이 십 대에게 덜 중독적으로 변화하도록 정부가 나서야 한다는 요구는 점점 더 확대되고 있지만, 여전히 미국에서 광범위한 연방 법률은 제정되지 않았다.

이런 상황에서 유타주는 자체적인 입법 해결책을 추구하고 있다. 오하이오, 뉴저지, 루이지애나와 같은 다른 주들도 비슷한 법안을 마련하고 있고, 텍사스와 아칸소는 18세 미만 사용자들의 SNS 사용을 전면 금지하는 법안을 고려하고 있다.

성별 및 소셜 미디어 사용 빈도에 따라 지난 1년 동안 섭식 장애, 자해 또는 자살 생각을 보고한 연구 참가자의 비율. 스프링거네이처저널 
성별 및 소셜 미디어 사용 빈도에 따라 지난 1년 동안 섭식 장애, 자해 또는 자살 생각을 보고한 연구 참가자의 비율. 스프링거네이처저널 

NPR은 SNS 회사들이 법을 준수하기 위해 새로운 기능을 개발하는 방향으로 나아갈 것이라고 내다봤다. 비록 이 법이 수정헌법 제1조의 권리를 침해할 수 있다는 비판이 있지만, 콕스 주지사는 법적 도전을 견뎌낼 것이라고 믿고 있다. 주 정부는 SNS 회사들이 정부가 발급한 신분증과 출생 증명서를 포함하는 문서를 통해 사용자 연령과 부모 관계를 확인하도록 요구할 계획이다.

콕스 주지사는 “SNS로 인해 Z세대와 청소년들이 입는 피해는 부인할 수 없다. 그런데 왜 디지털 세계에서는 보호장치가 없는 것인가?”라고 지적했다.

Copyright ⓒ 아이이뉴스 무단 전재 및 재배포 금지

아동권리교육 뉴스